Page 74 - 《广西植物》2021年第2期
P. 74
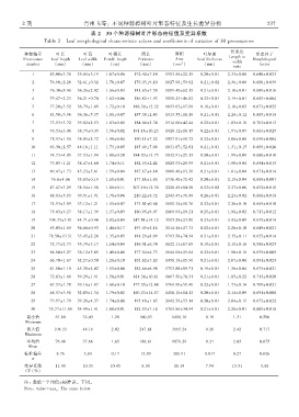
期 肖祖飞等᧥ 不同种源樟树叶片形态特征及生长差异分析 ሕ Ꭾ
表 ԣই ᇺԔ 个种源樟树叶片形态特征值及变异系数
ఋᑕᤦᔀ জ ᓂᔀᑕ ቝᆍʢᡱၤᆍᆍ੫ᔽዹᑕ ዹၤᑕʢᑕዹᡷᔀʢᔽ༁ᡷᔽዹ ᑕࣼᔀ༁ ᑕႿʛ ዹᆍᔀᔽዹᔽᔀႿᡷ༁ ᆍ ᑕʢᔽᑕᡷᔽᆍႿ ᆍ ሕԡ ᡱʢᆍᔀႿᑕႿዹᔀ༁
长宽比
种源编号 叶长 叶宽 叶柄长 周长 面积 叶厚度 形态因子
ᓂᔀႿ੫ᡷၤ ᡷᆍ
۪ʢᆍᔀႿᑕႿዹᔀ ᓂᔀᑕ ᔀႿ੫ᡷၤ ᓂᔀᑕ औᔽʛᡷၤ ۪ᔀᡷᔽᆍᔀ ᔀႿ੫ᡷၤ ۪ᔀʢᔽቝᔀᡷᔀʢ ዶʢᔀᑕ ᓂᔀᑕ ᡷၤᔽዹҴႿᔀ༁༁ ᥘᆍʢᡱၤᆍᆍ੫ᔽዹᑕ
Ⴟࣼቝᤦᔀʢ ྉቝቝɯ ྉቝቝɯ ྉዹቝɯ ྉቝቝɯ ྉቝቝ ɯ ྉቝቝɯ औᔽʛᡷၤ ᑕዹᡷᆍʢ
ʢᑕᡷᔽᆍ
ϟ ऐሕԡԡōሕᎮऐ ሕጢᤃጢōሕϟँ ϟᤃᎮōԡԡᤃ ϟँ࿗ԡōᎮϟ࿗ ϟँԡሕጢᤃōϟጢ ԡԡōԡԡϟ ሕሕōԡԡऐ ԡᤃ࿗ᤃōԡԡሕ
Ꭾᤃँԡōᤃ ሕᤃϟōԡሕ ϟᎮԡōԡԡᎮ ϟᎮᤃԡሕōँϟԡ ϟᤃᎮँऐōጢँԡ ԡϟōԡԡ ሕᤃōԡԡऐ ԡᤃᤃԡōԡԡሕँ
ሕ Ꭾᤃሕԡōऐ࿗ᤃ ሕᤃᤃōԡ ϟᤃᤃōԡԡሕ ϟऐϟᤃጢōᎮጢऐ ϟऐԡँ࿗ԡōᤃϟጢ ԡϟōԡԡϟ ϟԡōԡԡϟ ԡᤃऐँōԡԡϟᤃ
࿗ Ꭾँ࿗Ꭾōሕ ሕᤃϟōԡᎮԡ ϟᤃōԡԡᤃ ϟऐᤃऐōϟँሕ ϟऐँऐ࿗ሕō࿗ᤃऐ ԡōԡԡϟ ϟँōԡԡϟ ԡᤃऐሕōԡԡԡ࿗
ጢ ᎮᎮԡōሕጢ ሕᤃᎮँōϟᤃँ ϟᎮōԡϟԡ ϟऐᤃሕԡōϟሕ ϟऐጢँᤃሕōϟᎮԡऐ ԡϟऐōԡԡϟ ϟԡōԡԡሕ ԡᤃᎮሕōԡԡ
ᤃ ऐϟጢԡōሕँᤃ ሕᤃሕᤃōጢሕᎮ ϟऐϟōԡԡᎮ ϟऐᎮሕऐō࿗ሕ ϟँϟሕጢጢōϟᤃϟँ ԡϟōԡԡϟ ࿗ōԡϟ ԡᤃऐጢōԡԡϟऐ
Ꭾ Ꭾ ሕ ጢ ሕ շሕᎮ ሕँऐōጢሕ ϟऐሕōԡԡጢ ϟऐ࿗ऐᤃōጢᎮ࿗ ϟँϟ࿗ԡԡō࿗࿗࿗ ԡōԡԡϟ ϟऐጢōԡϟऐ ԡᎮԡሕōԡԡϟሕ
ऐ Ꭾᤃጢሕōሕԡऐ ሕऐᎮጢōԡሕጢ ϟጢԡōԡԡ ϟँϟϟᤃōϟԡሕ ϟँऐϟōϟԡϟጢ ԡōԡԡϟ ϟँᎮōԡԡᎮ ԡᤃᤃሕōԡԡጢ
ँ ᎮऐጢᎮōϟँ࿗ ሕऐԡጢōᎮ ϟँԡōԡԡ࿗ ϟँԡϟϟōᎮ ϟऐँᎮԡϟōϟԡᎮ ԡōԡԡϟ ԡᤃōԡԡऐ ԡᤃጢँōԡԡԡ࿗
ϟԡ ᤃሕሕԡōጢᎮ ࿗ऐϟऐōϟϟϟ ϟᎮሕōԡԡጢ ϟऐጢ࿗ँōᎮԡऐ ϟऐሕϟऐᎮōጢᤃϟ ԡϟōԡԡϟ ϟሕϟōԡϟጢ ԡᤃᤃँōԡԡᤃ
ϟϟ Ꭾ࿗Ꭾሕշ࿗ԡጢ ሕᎮጢሕōϟँ࿗ ϟऐԡōԡԡ ϟऐ࿗ԡሕōϟሕᎮጢ ϟऐሕँϟōጢϟሕ ԡԡōԡԡϟ ϟँँōԡԡँ ԡᤃऐԡōԡԡϟԡ
ϟ Ꭾሕԡሕշϟϟ ሕऐ࿗Ꭾō࿗ᤃԡ ϟᎮ࿗ōԡϟϟ ϟऐԡሕō࿗ ϟऐँँሕōँጢጢ ԡϟōԡԡϟ ϟँԡōԡԡ࿗ ԡᤃँ࿗ōԡԡϟጢ
ϟሕ ᤃँ࿗ᎮōϟᎮሕ ࿗ሕሕōጢᤃϟ ϟጢँōԡԡ࿗ ϟऐᎮᤃᎮō࿗ϟ࿗ ϟऐऐԡ࿗ԡōϟሕሕԡ ԡϟōԡԡϟ ϟᤃϟōԡԡ࿗ ԡᤃᎮϟōԡԡϟ࿗
ϟ࿗ Ꭾᤃᤃō࿗ԡᤃ ሕጢᤃሕōԡϟँ ϟᤃጢōԡԡϟ ϟᎮᎮऐᤃōϟऐᤃ ϟᎮሕᤃ࿗ԡōᎮ࿗ ԡԡōԡԡϟ ϟጢōԡԡ࿗ ԡᤃऐँōԡԡԡᎮ
ϟጢ ऐᎮ࿗Ꭾōሕँ ሕऐጢ࿗ōϟጢऐ ϟऐᤃōԡϟϟ ԡᎮϟऐōϟሕᤃ ऐ࿗ጢōऐ࿗ጢऐ ԡሕōԡԡ Ꭾōԡԡᤃ ԡᤃጢōԡԡϟऐ
ϟᤃ ऐऐऐሕōጢऐሕ ሕँँϟōϟँϟ ϟᎮऐōԡԡᤃ ϟԡōऐᎮ ሕ࿗ሕ࿗ᎮōᎮϟ࿗ँ ԡᤃōԡԡϟ ሕōԡԡ ԡᤃᤃᤃōԡԡϟऐ
ϟᎮ Ꭾ࿗ँሕōሕऐँ ሕሕϟōϟϟ ϟጢϟōԡԡᎮ ϟᎮሕऐϟōԡᤃ࿗ ϟᤃԡԡሕ࿗ōϟऐᎮᤃ ԡōԡԡϟ ᤃōԡϟԡ ԡᤃᤃጢōԡԡϟԡ
ϟऐ ᎮጢᤃሕōँᎮ ሕऐϟᎮōϟሕँ ϟሕᎮōԡԡሕ ϟऐԡँጢōँँᎮ ϟऐᤃँँጢōϟँϟ ԡጢōԡԡϟ ϟँऐōԡԡ ԡᎮϟᎮōԡԡϟ
ϟँ ϟԡऐሕሕōሕऐϟ ࿗࿗Ꭾϟōԡ࿗ᤃ ԡōԡԡ࿗ ࿗Ꭾऐϟōϟ࿗ϟ ሕϟԡጢ࿗ōሕऐԡ ԡሕōԡԡϟ ࿗ōԡԡँ ԡᤃሕጢōԡԡϟ࿗
ԡ ऐሕԡሕōϟऐጢ ሕᤃᤃᤃōԡँሕ ϟ࿗ऐōԡϟᎮ ϟँᎮ࿗ँōጢϟऐ ԡϟ࿗࿗ऐōᎮᎮሕ ԡōԡԡϟ ᤃōԡϟԡ ԡᤃ࿗ँōԡԡϟ
ϟ Ꭾऐጢԡōϟԡጢϟ ሕሕ࿗ጢōᤃ ϟሕጢōԡԡጢ ϟऐϟँōऐԡँ ϟᎮϟሕጢऐōᎮ࿗ጢ࿗ ԡϟōԡԡϟ ሕጢōԡϟϟ ԡᤃጢጢōԡԡϟ࿗
ᎮᎮᎮōᎮሕ ሕሕᎮँōሕϟᎮ ϟᤃ࿗ōԡԡ࿗ ϟऐᤃጢϟōᤃᎮ࿗ ϟᤃϟϟōᤃᎮᤃँ ԡϟँōԡԡϟ ϟጢōԡϟᤃ ԡጢऐᤃōԡԡሕ
ሕ ᤃऐऐԡōጢᎮ ሕᤃϟōጢᤃँ ϟ࿗ԡōԡԡᤃ ϟᎮᎮጢ࿗ō࿗Ꭾሕ ϟᤃ࿗࿗ԡ࿗ōጢᤃ࿗ ԡōԡԡϟ ϟँԡōԡϟऐ ԡᤃጢጢōԡԡԡँ
࿗ ᤃᤃᎮԡշϟᤃᎮ ሕᎮōԡጢԡ ϟऐōԡϟԡ ϟᤃऐōᎮऐ ϟ࿗ጢऐϟऐōϟጢँԡ ԡϟōԡԡϟ ԡᎮōԡԡᤃ ԡᤃँϟōԡԡሕ
ጢ ᤃϟऐԡōϟϟԡ ࿗ጢሕऐō࿗ԡ ϟጢϟōԡԡᤃ ϟऐᤃᤃōᤃँऐ ϟᎮँሕऐऐōऐँᎮϟ ԡϟँōԡԡϟ ϟሕᤃōԡԡ࿗ ԡᤃᎮጢōԡԡϟ
ᤃ Ꭾᤃሕōϟऐᤃ ሕँँōϟँϟ ϟጢऐōԡԡϟ ϟऐϟሕऐōϟԡऐϟ ϟऐᤃᎮጢԡōᎮऐሕϟ ԡϟōԡԡϟ ϟऐጢōԡ ԡᎮϟሕōԡԡԡ
Ꭾ ᤃᎮጢᎮōϟᎮऐ ሕँϟᤃōϟऐᎮ ϟᤃऐōԡϟԡ ϟᎮᎮԡጢōϟऐ࿗ ϟᎮᤃँँԡōጢϟ࿗ԡ ԡōԡԡϟ ϟᎮሕōԡϟᤃ ԡᎮԡँōԡԡϟ
ऐ ᤃऐጢᎮōሕँऐ ሕԡሕōϟሕ࿗ ϟᎮँōԡԡ ϟᤃԡԡሕōϟ࿗ጢᎮ ϟ࿗ԡऐϟԡōϟ࿗ϟሕ ԡԡōԡԡϟ ϟ࿗ōԡԡँ ԡᤃँϟōԡԡԡऐ
ँ ᎮँँᎮōϟᎮँ ሕँऐō࿗ሕᎮ ϟᎮ࿗ōԡԡᤃ ϟँጢϟऐōϟᤃጢ ԡ࿗ሕँōጢሕϟ࿗ ԡԡōԡԡϟ ԡ࿗ōԡϟጢ ԡᤃᎮሕōԡԡ
ሕԡ ᎮऐᎮᎮōϟϟᤃऐ ሕ࿗࿗ँōϟ࿗ϟ ϟᤃԡōԡԡϟ ϟऐጢሕōᎮϟऐ ϟᎮᤃሕऐᤃōሕ࿗ँ࿗ ԡϟōԡԡϟ ऐōԡԡϟ ԡᤃᤃጢōԡԡϟऐ
最小值 ᤃϟऐԡ ሕԡሕ ϟऐ ϟᤃԡԡሕ ϟ࿗ԡऐϟԡ ԡϟऐ ϟሕϟ ԡጢऐᤃ
ᥘᔽႿᔽቝࣼቝ
最大值 ϟԡऐሕሕ ࿗ऐϟऐ ԡ ࿗Ꭾऐϟ ሕϟԡጢ࿗ ԡᤃ ࿗ ԡᎮϟᎮ
ᥘᑕᔽቝࣼቝ
平均值 Ꭾᤃ࿗ऐ ሕᎮᤃᤃ ϟᤃጢ ϟऐᤃᤃϟ ϟऐᎮԡँ ԡϟ ԡሕ ԡᤃᎮጢ
ᥘᔀᑕႿ
标准偏差 ऐᎮᤃ ሕऐँ ԡϟᎮ ϟጢ࿗ँ ሕԡϟँϟ ԡԡϟᎮ ԡᎮ ԡԡᤃ
ဈ
变异系数 ϟϟ࿗ጢ ϟԡሕሕ ϟԡ࿗ጢ ऐሕԡ ϟᤃϟ࿗ Ꭾँ࿗ ϟሕጢϟ ሕऐऐ
ࣷႬ ྉᠮɯ
জ 注᧥ 数值 ᢉ 平均值ō标准误ᤥ 下同ᤥ
জશᆍᡷᔀ᧥ ᑕࣼᔀ ᢉ ଝō ଝ ఋၤᔀ ༁ᑕቝᔀ ᤦᔀᆍऔ

