Page 105 - 《广西植物》2021年第9期
P. 105

ँ 期            梁  月  明  等  ᧥ 不同林龄和密度马尾松人工林针叶和根系的生态化学计量特征                                  ϟ ጢ ԡ ሕ











































































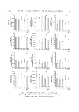
                                  图 ԰জ 不同密度林马尾松针叶和根系的 ऊܦશܦ۪ 含量及其比值
                              èᔽ੫঎ ԰জ ऊᖔ શ ᑕႿʛ ۪ ዹᆍႿዹᔀႿᡷʢᑕᡷᔽᆍႿ༁ ᑕႿʛ ᔽᡷ༁ ʢᑕᡷᔽᆍ༁ ᆍ஦ Ⴟᔀᔀʛ᤟ᔀ ᤟ᔀᑕ׹ᔀ༁ ᑕႿʛ ʢᆍᆍᡷ༁ ᔽႿ
                                       ʛᔽ஦஦ᔀʢᔀႿᡷ ʛᔀႿ༁ᔽᡷᢃ ༁ᡷᑕႿʛ༁ ᆍ஦ ۗᔠႥࣩ໧ ቂᐹ໧໧ᅳႥᔠᐹႥᐹ ᡱ᤟ᑕႿᡷᑕᡷᔽᆍႿ༁
   100   101   102   103   104   105   106   107   108   109   110