Page 187 - 《广西植物》2022年第2期
P. 187
ሕ ࿗ ᤃ Ꭻজ 㺫জ ḹজ ➕ ࿗ ࢣ
ዛ ᤩዛۗᦵ̵ଫ ଧ ጛÞϟሂଫ ࣷ ᐹዞᡙଫ ᦵ Іଧͅଫ ጛ ௴Іଧሂଫ Þ ᓣᧇÞ࿗ዛଫ ᤩ ࣷɔۗ
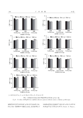
ప ࿗জ ڱ࣮ദఌर⩋䪫̹स㏰㏳ᵣ৭͙⮰ ఋ᥋ी۪ऊ ऊᡷ ը
èᔽ੫ ࿗জ ऊᡷ ᑕࣼᔀ༁ ᆍ ఋ᥋ी۪ऊ ᆍʢ ዹᑕႿʛᔽʛᑕᡷᔀ ʢᔀᔀʢᔀႿዹᔀ ੫ᔀႿᔀ༁ ᔽႿ ʛᔽᔀʢᔀႿᡷ ᡷᔽ༁༁ࣼᔀ༁ ᑕᡷ ʛᔽᔀʢᔀႿᡷ ੫ʢᆍऔᡷၤ ༁ᡷᑕ੫ᔀ༁
䩒र⩋䪫̹स㏰㏳ఋ᥋ी۪ऊ ⮰ऴ䔮ڱ࣮ദఌᖔ सḹ➕ᝂ̹स侸Т̷䔇㵸 ఋ᥋ी۪ऊ ᰵᓱ㺭ᄥ
ѲڢЂ̬χḹ➕͙छ㘩⽟㶔䓪ᖔ䔅䃭ᬺ̹ ڱ ࣮ ദఌ䔇㵸ょ䔵̺䃰ќ ྉ ᆍझᔀʢᑕ ᪲ ᑕᡱᑕዹझᖔ

