Page 169 - 《广西植物》2020年第11期
P. 169
ϟ ᤃ ँ ᤃ 广জ 西জ 植জ 物 ࿗ԡ 卷
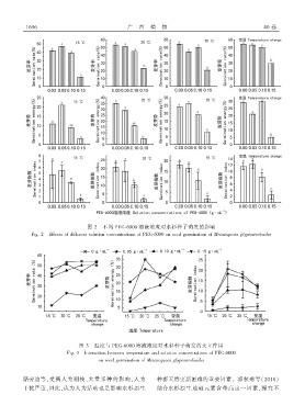
图 জ 不同 ۪ጶ᥈᥋ᤃԡԡԡ 溶液浓度对水杉种子萌发的影响
èᔽ੫ জ ጶᔀዹᡷ༁ ᆍ ʛᔽᔀʢᔀႿᡷ ༁ᆍࣼᡷᔽᆍႿ ዹᆍႿዹᔀႿᡷʢᑕᡷᔽᆍႿ༁ ᆍ ۪ጶ᥈᥋ᤃԡԡԡ ᆍႿ ༁ᔀᔀʛ ੫ᔀʢቝᔽႿᑕᡷᔽᆍႿ ᆍ ᤹ᓣᡙᐹᓣफࣩᅳᔠᐹ ᤀᡥᡓᡙᅳᡙʗᅳᤇᅳᔠʐᓣ
图 ሕজ 温度与 ۪ጶ᥈᥋ᤃԡԡԡ 溶液浓度对水杉种子萌发的交互作用
èᔽ੫ ሕজ ᧧ႿᡷᔀʢᑕዹᡷᔽᆍႿ ᤦᔀᡷऔᔀᔀႿ ᡷᔀቝᡱᔀʢᑕᡷࣼʢᔀ ᑕႿʛ ༁ᆍࣼᡷᔽᆍႿ ዹᆍႿዹᔀႿᡷʢᑕᡷᔽᆍႿ༁ ᆍ ۪ጶ᥈᥋ᤃԡԡԡ
ᆍႿ ༁ᔀᔀʛ ੫ᔀʢቝᔽႿᑕᡷᔽᆍႿ ᆍ ᤹ᓣᡙᐹᓣफࣩᅳᔠᐹ ᤀᡥᡓᡙᅳᡙʗᅳᤇᅳᔠʐᓣ
路旁边等ᖔ受到人为剔枝ܦ大量采种的影响ᖔ人为 种群天然更新困难的重要因素ᤥ 郭秋菊等ྉԡϟऐɯ
干扰严重ᖔ因此ᖔ认为人为活动也是影响水杉原生 结合水杉原生地硒元素含量高这一因素ᖔ探究不

