Page 104 - 《广西植物》2021年第9期
P. 104
ϟ ጢ ԡ 广জ 西জ 植জ 物 ࿗ϟ 卷
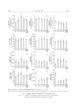
柱状图上的不同小写字母表示不同林龄或密度林间存在差异显著ྉۗጐԡԡጢɯᤥ 下同ᤥ
᧕ᔽᔀʢᔀႿᡷ ᆍऔᔀʢዹᑕ༁ᔀ ᔀᡷᡷᔀʢ༁ ʢᆍቝ ᡷၤᔀ ᤦᑕʢ ዹၤᑕʢᡷ ᔽႿʛᔽዹᑕᡷᔀ ༁ᔽ੫ႿᔽᔽዹᑕႿᡷ ʛᔽᔀʢᔀႿዹᔀ༁ ᑕቝᆍႿ੫ ʛᔽᔀʢᔀႿᡷ ᑕ੫ᔀ ᆍʢ ʛᔀႿ༁ᔽᡷᢃ ༁ᡷᑕႿʛ༁ ྉۗጐԡԡጢɯ ఋၤᔀ ༁ᑕቝᔀ ᤦᔀᆍऔ
图 ϟজ 不同龄林马尾松针叶和根系的 ऊܦશܦ۪ 含量及其比值
èᔽ੫ ϟজ ऊᖔ શ ᑕႿʛ ۪ ዹᆍႿዹᔀႿᡷʢᑕᡷᔽᆍႿ༁ ᑕႿʛ ᔽᡷ༁ ʢᑕᡷᔽᆍ༁ ᆍ Ⴟᔀᔀʛᔀ ᔀᑕᔀ༁ ᑕႿʛ ʢᆍᆍᡷ༁
ᔽႿ ʛᔽᔀʢᔀႿᡷ ᑕ੫ᔀ ༁ᡷᑕႿʛ༁ ᆍ ۗᔠႥࣩ ቂᐹᅳႥᔠᐹႥᐹ ᡱᑕႿᡷᑕᡷᔽᆍႿ༁

