Page 145 - 《广西植物》2022年第6期
P. 145
ᤃ 期 张娜等᧥ 盐胁迫对藜麦种子萌发的影响研究 ϟ ԡ ሕ ጢ
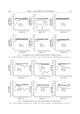
图 ጢজ 不同盐溶液对藜麦种子胚根伸长抑制率的影响ྉ平均值ō标准误差ɯ
èᔽ੫ ጢজ ጶᔀዹᡷ༁ ᆍ ʛᔽᔀʢᔀႿᡷ ༁ᑕᡷ ᡷᢃᡱᔀ༁ ᆍႿ ᡷၤᔀ ᔽႿၤᔽᤦᔽᡷᔽᆍႿ ʢᑕᡷᔀ༁ ᆍ ʢᑕʛᔽዹᑕ ᔀᆍႿ੫ᑕᡷᔽᆍႿ ᔽႿ ࣷ၊ᓣႥᅳᡓᅳʐᔠࣩቂ फࣩᔠႥᅳᐹ ༁ᔀᔀʛ༁ ྉଝō ɯ
ଝ
图 ᤃজ 不同盐溶液对藜麦种子胚芽伸长抑制率的影响ྉ平均值ō标准误差ɯ
èᔽ੫ ᤃজ ጶᔀዹᡷ༁ ᆍ ʛᔽᔀʢᔀႿᡷ ༁ᑕᡷ ᡷᢃᡱᔀ༁ ᆍႿ ᡷၤᔀ ᔽႿၤᔽᤦᔽᡷᔽᆍႿ ʢᑕᡷᔀ༁ ᆍ ੫ᔀʢቝ ᔀᆍႿ੫ᑕᡷᔽᆍႿ ᔽႿ ࣷ၊ᓣႥᅳᡓᅳʐᔠࣩቂ फࣩᔠႥᅳᐹ ༁ᔀᔀʛ༁ ྉଝō ɯ
ଝ

