Page 152 - 《广西植物》2023年第5期
P. 152

9 3 2                                  广  西  植  物                                         43 卷















































































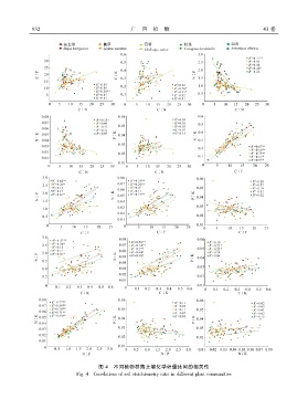
                                       图 4  不同植物群落土壤化学计量比间的相关性
                               Fig. 4  Correlations of soil stoichiometry ratio in different plant communities
   147   148   149   150   151   152   153   154   155   156   157