Page 165 - 《广西植物》2023年第5期
P. 165

9 3 2                                  广  西  植  物                                         43 卷















































































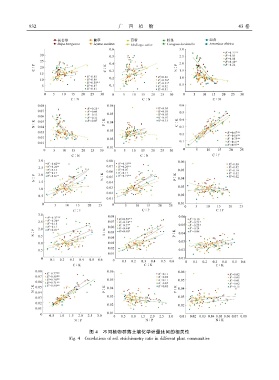
                                       图 4  不同植物群落土壤化学计量比间的相关性
                               Fig. 4  Correlations of soil stoichiometry ratio in different plant communities
   160   161   162   163   164   165   166   167   168   169   170