Page 216 - 《广西植物》2025年第3期
P. 216
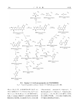
5 9 6 广 西 植 物 45 卷
图 4 Tatarine C ̄4′ ̄O ̄β ̄D ̄glucopyranoside(A6)可能的裂解途径
Fig. 4 Proposed fragmentation pathways of tatarine C ̄4′ ̄O ̄β ̄D ̄glucopyranoside (A6)
和 m / z 356. 13 等ꎮ 还 观 察 到 由 碎 片 离 子 m / z 3 ̄Furanmethanolꎬ tetrahydro ̄2 ̄( 4 ̄hydroxy ̄3ꎬ 5 ̄
356.13 连续丢失 3 个 15.02 Da( CH ) 后产生m / z dimethoxyphenyl ̄4 ̄[( 4 ̄hydroxy ̄3ꎬ 5 ̄dimethoxyphe ̄
3
341.13、m / z 326. 08 和 m / z 311. 06 等 碎 片 离 子ꎮ nyl)methyl] ̄ꎬ ( 2Sꎬ 3Rꎬ 4R) ( CAS 编 号: 116498 ̄
但是ꎬ在 SciFinder 数据库中未找到符合这些质谱 58 ̄9)的同分异构体ꎬ二者均为潜在的新化合物ꎮ
数据的化合物结构ꎬ因此推测它们为已知化合物 其可能的详细裂解途径见图 8ꎮ

