Page 203 - 《广西植物》2025年第10期
P. 203
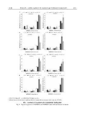
10 期 黄金龙等: 马尾松 PmWRKY2 和 PmWRKY6 基因生物信息学及表达分析 1 9 3 3
不同小写字母表示同一天不同处理间差异显著(P<0.05)ꎮ
Different lowercase letters indicate significant differences among different treatments on the same day (P<0.05).
图 4 PmWRKY2 和 PmWRKY6 在不同激素处理下的表达模式
Fig. 4 Expression patterns of PmWRKY2 and PmWRKY6 under different hormone treatments

